World Meteorological Organization
Weather · Climate · Water
WORLD METEOROLOGICAL CENTRE BEIJING
Global Monitoring, Global Forecasting and Global Services
  • Home
  • Monitoring
  • Models
  • Verification
  • Severe Weather
  • Training
  • Events
  • News
Verification
  • Geopotential Height
  • Temperature
  • Wind
  1. Home
  2. Verification
  3. Wind
  4. Upper level mean
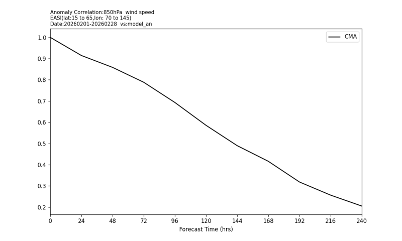
  5. ACC
  6. 850hPa
  7. EASI
  • Upper level time series
  • Upper level mean
  • ACC
  • RMSE
  • 850hPa
  • 500hPa
  • 250hPa
  • EASI
  • NHEM
  • SHEM
  • TROP
Base time(UTC)
Forecast time
240
Products
About us|Site map

National Meteorological Centre Copyright © 2018-2020

Powered by the published news, information and a variety of column material without authorization is prohibited download

Maintenance: National Meteorological Centre Forecast System Laboratory

京公网安备 11040102700102号    京ICP备05055842-5号

Address: No. 46, Zhongguancun South Street, Haidian District, Beijing, China

Zip: 100081

Email:wmc-bj@cma.gov.cn

Site map